Hvordan vil danskerne stemme til Europa-Parlamentsvalget? #3
Der er valg til Europa-Parlamentet i dag, søndag den 9. juni. Det betyder selvsagt, at der også er meningsmålinger, der giver bud på, hvilke partier danskerne vil stemme på. Ved folketingsvalg er der som regel daglige meningsmålinger i ugerne op til valget, hvilket på ingen måde er tilfældet ved valg til Europa-Parlamentet. Tværtimod er der tale om relativt få meningsmålinger.
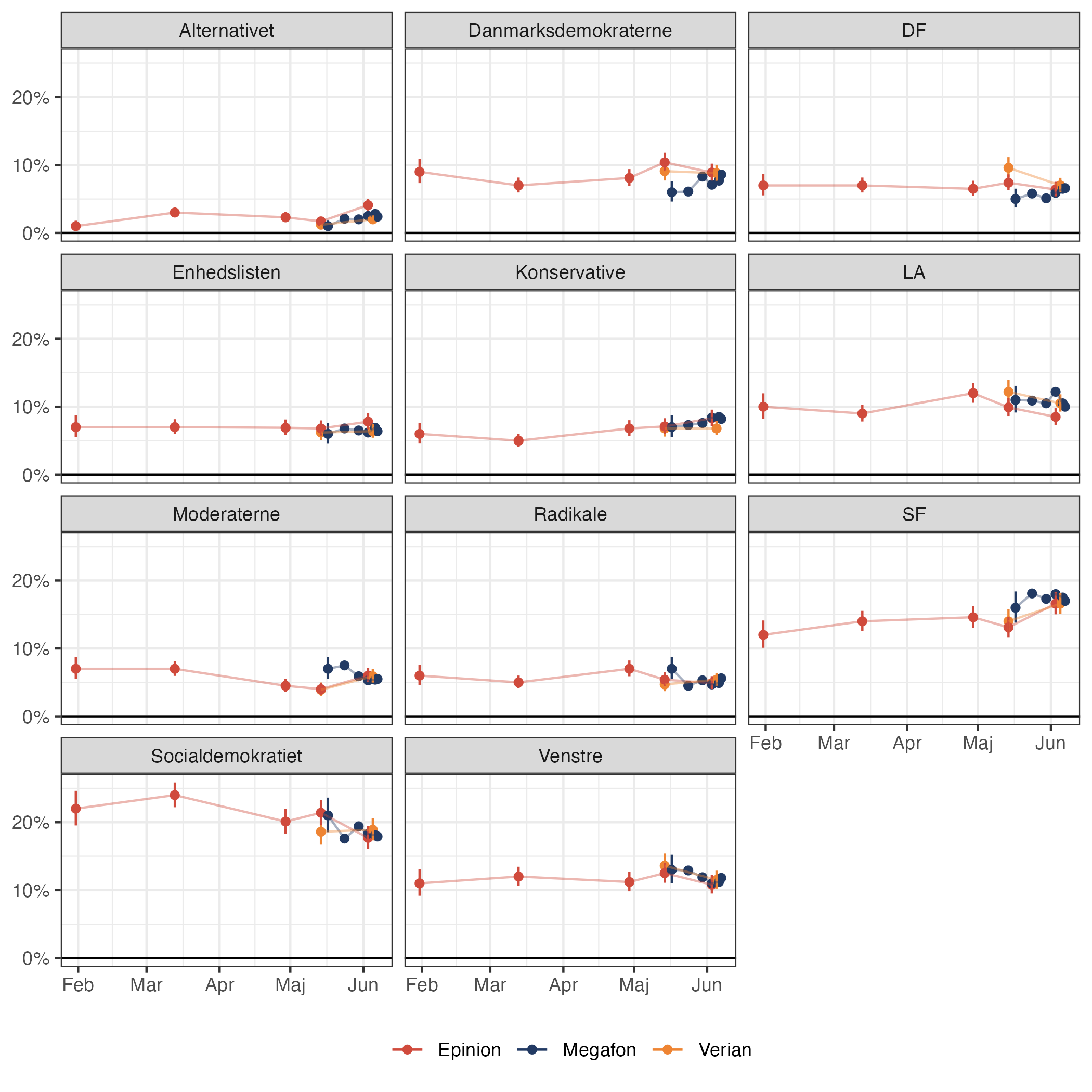
Vi har fået meningsmålinger fra tre analyseinstitutter. For det første Epinion, der går længst tilbage i tid og dermed giver os anledning til at vurdere, om opbakningen til partierne har ændret sig i løbet af de seneste måneder. For det andet Megafon, der desværre, men ikke overraskende, har for vane ikke at formidle, hvor mange der har deltaget i deres meningsmålinger, når de bliver dækket af TV 2 og Politiken. (TV 2 dækker målinger som var det 2014 - ikke 2024.) For det tredje Verian, som de fleste danskere nok vil kende bedre under deres tidligere navn, Gallup.
I nedenstående figur kigger vi nærmere på opbakningen til de 11 partier, som vi er interesseret i at vide, hvordan de klarer sig senere i dag, fra de tre analyseinstitutter, der har lavet EP-målinger.

Vi kan se at der generelt betragtet ikke er de store forskelle på tværs af analyseinstitutterne. Tager vi den statistiske usikkerhed i betragtning og antager at Megafon har spurgt omkring 1.000 respondenter i deres meningsmålinger, er der ikke nævneværdige forskelle, som vi bør forholde os til. Og slet ikke hvis vi tager højde for, at ikke alle respondenter har angivet et partivalg.
Socialdemokratiet står til at blive det største parti, efterfulgt af SF. Det er dog uklart om Liberal Alliance eller Venstre bliver det største blå parti. Det er ligeledes ikke til at sige, om de Konservative kommer til at klare sig bedre end Danmarksdemokraterne og DF. Radikale og Moderaterne ligger begge på omkring fem procent, så det er ingenlunde givet, hvordan valget falder ud.
Hvad skal vi forvente os af meningsmålingerne generelt betragtet? Mit gæt er, at meningsmålingerne ikke vil klare sig lige så godt som ved folketingsvalget. Dette er der to grunde til. For det første har analyseinstitutterne langt større og bedre erfaring med at lave meningsmålinger til folketingsvalg. Meningsmålingerne rammer som regel meget præcist ved folketingsvalg, og det vil være imponerende, hvis de rammer Europa-Parlamentet lige så præcist som Folketinget.
For det andet er der langt flere vælgere, der ikke ved, hvilket parti de vil stemme på, end når vi ser på folketingsvalg. I ugerne op til valget var det kun omkring halvdelen af vælgerne, der vidste, hvilket parti, de vil stemme på. Jo tættere man kommer på valget, desto lavere er dette tal. Megafon formidler, at det i deres målinger er omkring hver fjerde vælger, der er tvivler. Det er ligeledes muligt, at flere vælgere vil beslutte sig, eller ændre mening, i sidste øjeblik. Meningsmålingerne kan således afvige fra valgresultatet, uden at de nødvendigvis har taget fejl, når de har spurgt vælgerne i dagene før valget.
Det interessante spørgsmål vi kan forholde os til er, om det giver mening også at bruge meningsmålinger fra folketingsvalg, når vi skal sige noget om opbakningen til partierne ved EP-valget. Det korte svar er, at jeg er skeptisk. I 2019 belyste jeg, hvorfor dette er problematisk, og jeg gav også nogle bemærkninger med på vejen i TjekDet.
Der er dog to grunde til, at jeg er mindre skeptisk nu end i 2019. For det første er der et bedre overlap mellem de partier, der stiller op ved europaparlamentsvalget i 2024 end ved europaparlamentsvalget i 2019. Der er således ikke længere tale om partier som Folkebevægelsen mod EU, som gjorde det sværere at se på folketingsmålingerne. For det andet fordi de nationale meningsmålinger kan bruges som input - kombineret med anden data - til at forstå, hvor stor opbakning partierne sandsynligvis vil få. Der er trods alt en væsentlig korrelation mellem opbakningen til partierne i meningsmålingerne ved folketingsvalg og europaparlamentsvalg. Når Venstre går tilbage nationalt, gør de det sandsynligvis også i Europa-Parlamentet (på samme måde som ved kommunalvalg).
Jeg er derfor ikke imod brugen af nationale meningsmålinger til at sige noget fornuftigt om opbakningen til partierne i Europa-Parlamentet per se (se eksempelvis denne analyse for et fint eksempel på en god analyse). Det vil sige at nationale meningsmålinger kan bruges i en model til at belyse, hvordan det vil gå partierne. Når det er sagt, er jeg dog stadig langt større tilhænger af at kigge på de meningsmålinger, der eksplicit spørger til, hvilke partier vælgerne vil stemme på til Europa-Parlamentet.
Vi bliver snart klogere på, hvordan EP-målingerne klarede sig. Mit gæt er, målingerne generelt vil klare sig fint, men at vi ikke skal udelukke større forskelle mellem målinger og valgresultat end vi så ved seneste folketingsvalg.